Vendor: PCAT
Certifications: PCAT Certifications
Exam Name: Pharmacy College Admission Test - Quantitative
Exam Code: PCAT-SECTION3
Total Questions: 67 Q&As ( View Details)
Last Updated: Mar 17, 2025
Note: Product instant download. Please sign in and click My account to download your product.
VCE
PCAT PCAT-SECTION3 Last Month Results
95.7% Pass Rate
365 Days Free Update
Verified By Professional IT Experts
24/7 Live Support
Instant Download PDF&VCE
3 Days Preparation Before Test
18 Years Experience
6000+ IT Exam Dumps
100% Safe Shopping ExperiencePCAT-SECTION3 Q&A's Detail
| Exam Code: | PCAT-SECTION3 |
| Total Questions: | 67 |
| Single & Multiple Choice | 67 |
CertBus Has the Latest PCAT-SECTION3 Exam Dumps in Both PDF and VCE Format
PCAT-SECTION3 Online Practice Questions and Answers
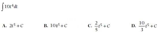
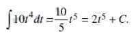
Evaluate the following indefinite integral:

A. Option A
B. Option B
C. Option C
D. Option D
A full-time employee works 40 hours during a five-day week. The percentage of a five-day week that the employee is at work is:
A. 20%
B. 33%
C. 40%
D. 50%
The three most commonly used temperature scales are Fahrenheit (°F), Celsius (°C), and Kelvin (K). They are based on the freezing point and boiling point of water as shown below.

The formula for temperature conversion between the Fahrenheit and Celsius scales is

What is the linear equation relating temperature in Fahrenheit to temperature in Kelvin?

A. Option A
B. Option B
C. Option C
D. Option D
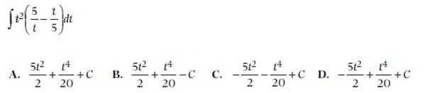
Evaluate the following indefinite integral: A. Option A

B. Option B
C. Option C
D. Option D
Add Comments
hi guys I had my exam yesterday and passed. It is really a good dumps. Thanks very much.
I have to admit this is one of the best exam dumps I have ever used for PCAT-SECTION3 exams. It covers most if not all the topics required to give you an associate level of knowledge and PASS the exam .. most of the dumps won't actually give you the ability to pass the test without additional resources. Thanks guys hopefully the other exam I bought from you keep the same level or higher.
i'm very happy that i passed the exam successfully. Recommend.
Three new questions but I cannot remember the content exactly. All easy questions so you do not need to worry. You can pass the exam even you leave the new questions blank. The questions are valid. Accurate answers and update questions. Questions may change in the real exam so you need to read that carefully. Good luck to you all.
With this dumps alone is helpful enough. I promise this dumps will help you pass the exam. Just go through all the questions. Good luck to you all.
I have passed the exam with good scores, thanks very much.
With the help of these dumps, I passed the PCAT-SECTION3 exam perfectly. Thanks a lot.
One new question in the exam. 100% valid dumps. Passed my exam with full score. Thanks so much for your valid questions and accurate answers. I will recommend this to all my friends. One suggestion: it will be greater if you can send the unlocked version earlier. Anyway, you've done a great job. Thanks again.
I honestly started reading through the questions and re-reading it every night starting one month out from the test. I don't think I saw anything on the test that I didn't see at least tangentially covered in these questions.
i must recommend this dumps to you for i achieved full score with the help of it. i believe that you can do it like me by using this dumps.