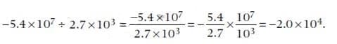
(
5.4 × 107) ÷ (2.7 × 103) =
A.
Option A
B.
Option B
C.
Option C
D.
Option D

On a single roll of a die, what is the probability of not getting a 2?
A. 1/6
B. 3/6
C. 4/6
D. 5/6
What is the probability of randomly selecting a ten card from a standard deck of cards?
A. 1/52
B. 1/13
C. 12/13
D. 51/12
What is the slope of a line that passes through the points (0, 4) and (4, 0)?
A. 4
B. -1
C. 0
D. undefined
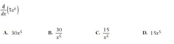
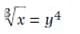
Evaluate the following derivative:

A. Option A
B. Option B
C. Option C
D. Option D
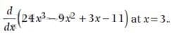
Evaluate the following derivative:

A. Option A
B. Option B
C. Option C
D. Option D
Chemistry students performed nine volume measurements of a solution during a lab and obtained the
following results:
{2.4mL, 3.2mL, 3.7mL, 3.7mL, 4.5mL, 6.8mL, 7.3mL, 8.1mL, 12.2mL}
What is the median of the data set?
A. 3.7mL
B. 4.5mL
C. 5.8mL
D. 9.8mL
What is the slope of a line described by 3x + 2y 12 = 0?
A. 3/2 B. -3/2
C. 2/3
D. -2/3
Which line is perpendicular to the line y + 3x = 8?

A. Option A
B. Option B
C. Option C
D. Option D
Evaluate the following derivative: A. Option A

B. Option B
C. Option C
D. Option D