
In the diagram above, lines EF and GH are parallel, and line AB is perpendicular to lines EF and GH. What is the length of line AB?
A. 5
B. 52
C. 53
D. 102
E. 103
It takes eight people 12 hours to clean an office. How long would it take six people to clean the office?
A. 9 hours
B. 15 hours
C. 16 hours
D. 18 hours
E. 24 hours
When x= –3, the expression –2x2 + 3x – 7 =
A. –34.
B. –27.
C. –16.
D. –10.
E. 2.
A music store offers customized guitars. A buyer has four choices for the neck of the guitar, two choices for the body of the guitar, and six choices for the color of the guitar. The music store offers
A. 12 different guitars.
B. 16 different guitars.
C. 24 different guitars.
D. 36 different guitars.
E. 48 different guitars.
If the statement "No penguins live at the North Pole" is true, which of the following statements must also be true?
A. All penguins live at the South Pole.
B. If Flipper is not a penguin, then he lives at the North Pole.
C. If Flipper is not a penguin, then he does not live at the North Pole.
D. If Flipper does not live at the North Pole, then he is a penguin.
E. If Flipper lives at the North Pole, then he is not a penguin.
The length of a rectangle is one greater than three times its width. If the perimeter of the rectangle is 26 feet, what is the area of the rectangle?
A. 13 ft2
B. 24 ft2
C. 30 ft2
D. 78 ft2
E. 100 ft2

Based on the diagram above, which of the following is true?

A. Option A
B. Option B
C. Option C
D. Option D
E. Option E
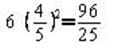
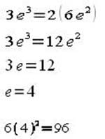
The ratio of the number of cubic units in the volume of a cube to the number of square units in the surface area of the cube is 2:3. What is the surface area of the cube?
A. 16 square units
B. 24 square units
C. 64 square units
D. 96 square units
E. 144 square units
SIMULATION
Point A of rectangle ABCD is located at (–3, 12) and point C is located at (9,5).What is the area of rectangle ABCD?
A. 84
If 40% of j is equal to 50% of k, then j is
A. 10% larger than k.
B. 15% larger than k.
C. 20% larger than k.
D. 25% larger than k.
E. 80% larger than k.

In the diagram above, line AB is parallel to line CD, both lines are tangents to circle O and the diameter of circle O is equal in measure to the length of line OH. If the diameter of circle O is 24 in, what is the measure of angle BGH?
A. 30 degrees
B. 45 degrees
C. 60 degrees
D. 75 degrees
E. cannot be determined
If the lengths of the edges of a cube are decreased by 20%, the surface area of the cube will decrease by A. 20%.
B. 36%.
C. 40%.
D. 51%.
E. 120%.
Wendy tutors math students after school every day for five days. Each day, she tutors twice as many students as she tutored the previous day. If she tutors t students the first day, what is the average (arithmetic mean) number of students she tutors each day over the course of the week?

A. Option A
B. Option B
C. Option C
D. Option D
E. Option E
SIMULATION
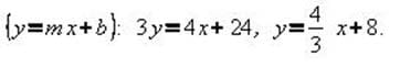
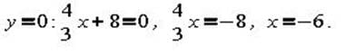
What is the distance from the point where the line given by the equation 3y = 4x + 24 crosses the x-axis to the point where the line crosses the y-axis?
A. 10
Gil drives five times farther in 40 minutes than Warrick drives in 30 minutes. If Gil drives 45 miles per hour, how fast does Warrick drive?
A. 6 mph
B. 9 mph
C. 12 mph
D. 15 mph
E. 30 mph