Recent studies of the gender gap in the history of United States politics tend to focus on candidate choice rather than on registration and turnout. This shift in focus away from gender inequality in political participation may be due to the finding in several studies of voting behavior in the United States that since 1980. differences in rates of registration and voting between men and women are not statistically significant after controlling for traditional predictors of participation. However. Fullerton and Stern argue that researchers have overlooked the substantial gender gap in registration and voting in the South. While the gender gap in participation virtually disappeared outside the South by the 1950s, substantial gender differences persisted in the South throughout the 1950s and 1960s, only beginning to decline in the 1970s.
The author of the passage cites "several studies of voting behavior in the United States" to
A. suggest that rates of change in political participation have moderated
B. provide a possible explanation for a propensity among certain researchers
C. indicate an area of research that is particularly promising
D. speculate about the implications of a change
E. suggest that a particular area of study has not been very productive
Sensationalism--the purveyance of emotionally charged content. focused mainly on violent crime, to a broad public--has often been decried, but the full history of the phenomenon has yet to be written. Scholars have tended to dismiss sensationalism as unworthy of serious study, based on two pervasive though somewhat incompatible assumptions: first, that sensationalism is essentially a commercial product, built on the exploitation of modern mass media, and second, that it appeals almost entirely to a simple, basic emotion and thus has tittle history apart from the changing technological means of spreading it. An exploration of sensationalism's early history, however, challenges both assumptions and suggests that they have tended to obscure the complexity and historicity of the genre.
According to the passage, scholars have not given sensationalism serious consideration because they believe sensationalism
A. possesses largely emotional rather than rational content
B. is produced with an eye to making money
C. lacks historical complexity
Greenberg's book presents a very good argument that there is something not quite (i)_________in the science
community's perennial lament over inadequate budgets. Although the lament (ii)_________fears over looming
shortages of scientifically trained personnel, the reality. Greenberg argues, is that government support for science and engineering has never been greater, with budgets continuing to grow every year--even through the past decade, when the climate for government spending generally has not been (iii)_________one.
A. forthright
B. original
C. sophisticated
D. Understates
E. alleviates
F. encourages
G. an expansive
H. a forbiddine
I. a perilous
Until 1992. microprocessor types were identified by number, and for a long time they were considered so _________that manufacturers would share design specifications for them.
A. fungible
B. interchangeable
C. perishable
D. integral
E. inimitable
F. essential
To help the reader understand the actions of and the decisions made by people of another time, the historian's narrative must be_________what they knew; the narrative should not refer to anything not known until later.
A. hinted at by
B. antithetical to
C. at odds with
D. circumscribed by
E. limited to
F. consistent with
Edited collections of scholarly essays generally lend to be somewhat uneven: they suffer from the_______ subject matter of the various essays, the lack of an overarching and consistent thesis, and the variable quality of the contributions.
A. intriguing
B. heterogeneous
C. comprehensive
D. disparate
E. mediocre
F. engaging
It is hardly (i)_________that Roland, raised to (ii)_________ostentation, is building a house that is the antithesis of opulence.
A. undeniable
B. remarkable
C. irrevocable
D. savor
E. recognize
F. flout
In 1995 the United States National Park Service reintroduced wolves into Yellowstone National Park, from which they had been eliminated decades before by overhunting. Biologists hoped the reintroduction would return the park's mix of animals to a more natural state. After the wolves* disappearance, the population of their onetime prey, the elk. had burgeoned. Subsequently, new tree growth declined as multiplying elk browsed young trees, denuding certain areas of the park. Following the wolves" return, the elk population declined and young trees rebounded. Most scientists attribute the vegetation changes to the wolves" return. However. Patton observes that Yellowstone has not had a harsh winter since wolf numbers reached high levels and suggests that elk may not have needed to resort to trees for food.
If the view attributed to the majority of scientists is correct, which of the following must be true?
A. The elk population in Yellowstone had probably begun to decline prior to the reintroduction of wolves to the park.
B. Browsing by species other than elk probably had a significant impact on young trees in Yellowstone.
C. Human activity contributed both to the decline and to the resurgence of new tree growth in Yellowstone.
D. The reintroduction of wolves to Yellowstone has had negative as well as positive effects on vegetation in the park.
E. The rate at which young trees rebounded in Yellowstone following the reintroduction of wolves was in part due to weather patterns.
Even the most complex models used in fishery management are cartoons of reality. They reduce hundreds of links in food webs to a handful and inadequately represent processes operating over space. Many of their assumptions are as flawed today as those of the simplest models of the past. Fish stocks, for one. are still assumed to be populations of a species that are isolated from one another. Yet many populations mix at their edges and some even migrate through areas occupied by other populations. Furthermore, the more complex models suffer from a "crisis of complexity"--more is really less. Adding layers of detail, each carrying its own set of assumptions, produces instability. The model's behavior becomes erratic, and conclusions drawn from it can be downright misleading.
In the context of the passage, the highlighted portion serves to A. confirm a prediction
B. demonstrate an oversimplification
C. recommend a reformulation
D. anticipate an objection
E. question a finding
The appropriateness of_________with those to whom one owes loyalty is evident in the Confucian view
that rulers who are not living up to their roles should be urged to rectify their behavior.
A. commiserating
B. collaborating
C. negotiating
D. expostulating
E. sympathizing
F. remonstrating
Not only do the brains of people with great memories appear anatomically_________those of control subjects, but in terms of general cognitive ability, great memorizers appear to be well within the normal range.
A. superior to
B. incomparable to
C. younger than
D. independent of
E. indistinguishable from

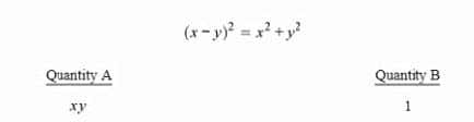
A. Quantity A is greater.
B. Quantity B is greater.
C. The two quantities are equal
D. The relationship cannot be determined from the information given.
Exhibit.

Each of the four semicircles shown in the figure has a side of the square as its diameter and has exactly one point in common with the larger circle. If each side of the square has length 4, what is the sum of the areas of the shaded regions?
A. 8-16
B. 12-16
C. 16-16
D. 18-16
Pumping at a constant rate, a certain gasoline pump can fill an empty 50-gallon tank in 2 minutes. If the pump pumped gasoline into the 50-gallon tank at the constant rate for 1.5 minutes and the tank had 10 gallons of gasoline in it when the pump began pumping, what percent of the volume of the 50-gallon tank was filled with gasoline at the end of the 1.5 minutes?
A. % 95s