You have an Azure Stack Hub integrated system that connects to the Internet.
You need to update the Azure Event Hubs service.
Solution: From a privileged endpoint (PEP) session, you run the Install-AzsUpdate cmdlet.
Does this meet the goal?
A. Yes
B. No
You have an Azure Stack Hub integrated system.
You perform infrastructure backups twice daily.
User workloads are protected by using Azure Site Recovery.
The architect of the user workloads is planning a business continuity disaster recovery (BCDR) strategy.
You need to recommend to the architect which resources to include in the BCDR strategy.
Which two resources should you recommend? Each correct answer presents part of the solution.
NOTE: Each correct selection is worth one point.
A. Azure Key Vault secrets
B. plans, quotas, and offers
C. role-based access control (RBAC) permissions and roles
D. user subscriptions
E. Azure Resource Manager templates for resources used by Azure Stack Hub virtual machines
F. Azure Site Recovery workloads
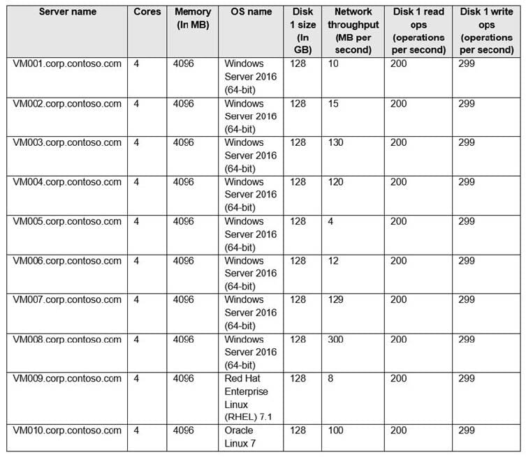
You have an Azure Stack Hub integrated system that connects to the Internet. You are migrating several Hyper-V workloads to Azure Stack Hub. Billing for the workloads is consumption-based.
You need to predict the ongoing Microsoft subscription charges for the workloads.
You run an Azure Migrate assessment and receive the output shown in the following table.

The values from which three columns affect the ongoing Microsoft subscription charges? Each correct answer presents a complete solution. NOTE: Each correct selection is worth one point.
A. Disk 1 size (In GB)
B. Network throughput (MB per second)
C. Cores
D. Memory (In MB)
E. Disk 1 read ops (operations per second)
F. Disk 1 write ops (operations per second)
G. OS name
You plan to install an update to an Azure Stack Hub integrated system. You need to verify whether the integrated system is healthy, and whether you can apply the update. You must achieve the goal as quickly as possible.
Solution: From the administrator management endpoint, you run
Test-AzureStack-Group "UpdateReadiness".
Does this meet the goal?
A. Yes
B. No
You have an Azure Stack Hub integrated system that uses an Active Directory Federation Services (AD FS) identity provider and capacity-based billing.
You have a plan named Plan1 that has the following quota configurations for Microsoft.Compute:
Maximum number of Availability Sets: 10
Maximum number of virtual machines: 50 Maximum number of virtual machine cores: 100 Maximum number of virtual machine scale sets: 10 You link two offers named Offer1 and Offer2 to Plan1.
Two user subscriptions named Customer1 and Customer2 are created based on Offer1. A user subscription named Customer3 is created based on Offer2.
Customer1 receives a warning that it provisioned 50 virtual machines.
You need to ensure that Customer1 can provision an additional 25 virtual machines within its existing subscription. The solution must NOT affect the quotas of the other user subscriptions.
Which two actions should you perform? Each correct answer presents part of the solution.
NOTE: Each correct selection is worth one point.
A. Add NewPlan as an add-on to Offer1
B. Create a new plan named NewPlan that has the maximum number of virtual machines quota set to 75
C. Add NewPlan to the Customer1 user subscription
D. Create a new plan named NewPlan that has the maximum number of virtual machines quota set to 25
E. Update the quota for Microsoft.Compute in Plan1 to have the maximum number of virtual machines set to 75
F. Create a new offer named Offer3 based on Plan1 and create a new user subscription for Customer1 by using Offer3
You have a disconnected Azure Stack Hub integrated system that contains a user named User1.
You need to ensure that User1 can assign role-based access control (RBAC) roles in Azure Stack Hub. The solution must use the principle of least privilege.
Which Azure Stack Hub built-in role should you assign to User1?
A. Owner
B. User Access Administrator
C. Security Admin
D. Managed Identity Contributor
You need to recommend a business continuity and disaster recovery plan for the dev1 and dev2 regions that meets the technical requirements.
Which two recommendations should you make? Each correct answer presents part of the solution.
NOTE: Each correct selection is worth one point.
A. Implement the Infrastructure Backup Service
B. Use an Azure Marketplace backup tool in each region to protect the virtual machines that run in the other region
C. Implement Azure Site Recovery
D. Use Infrastructure as Code (IaC) by using Azure Resource Manager templates
HOTSPOT
You have an Azure Stack Hub integrated system that is disconnected from the Internet. The integrated system is registered to an Azure Active Directory (Azure AD) tenant named contoso.com.
You need to download the latest Ubuntu image for Azure Stack Hub Marketplace.
How should you complete the PowerShell script? To answer, drag the appropriate cmdlets to the correct targets. Each cmdlet may be used once, more than once, or not at all. You may need to drag and split the bar between panes to scroll to
view content.
NOTE: Each correct selection is worth one point.
Hot Area:

HOTSPOT
You have an Azure Stack Hub integrated system that uses an Azure Active Directory (Azure AD) tenant named fabrikam.com as an identity provider. The integrated system region name is region1, and the external domain name is
fabrikam.com.
The integrated system has the following domains enabled for multitenancy:
1.
fabrikam.onmicrosoft.com
2.
contoso.onmicrosoft.com
3.
fabrikam.com
4.
contoso.com
You need to disable multitenancy for contoso.com.
How should you complete the PowerShell script? To answer, select the appropriate options in the answer area.
NOTE: Each correct selection is worth one point.
Hot Area:

HOTSPOT
You have an Azure Stack Hub integrated system that is enabled for multi-tenancy and contains a tenant. The integrated system is configured as shown in the following table.

You need to configure the URI that will be used by the tenant to query the subscription usage. How should you complete the URI? To answer, select the appropriate options in the answer area.
Hot Area:

HOTSPOT
You plan to deploy an Azure Stack Hub integrated system to a datacenter.
You need to connect the top-of-rack (ToR) switches to the existing border devices. The solution must ensure that routes propagate dynamically between the ToR switches and the border devices.
What should you include in the solution? To answer, select the appropriate options in the answer area.
NOTE: Each correct selection is worth one point.
Hot Area:

DRAG DROP
You have an Azure Stack Hub integrated system that uses an Azure Active Directory (Azure AD) identity provider.
You have a group named AppGroup1.
You need to provide an application with the ability to access Azure Stack Hub resources by using AppGroup1.
Which four actions should you perform in sequence? To answer, move the appropriate actions from the list of actions to the answer area and arrange them in the correct order.
Select and Place:

DRAG DROP
You have an Azure Stack Hub integrated system that connects to the internet.
You need to deploy Azure Event Hubs to the integrated system and ensure that users can create Event Hubs resources. The solution must minimize administrative effort.
Which three actions should you perform in a sequence? To answer, move the appropriate actions from the list of actions to the answer area and arrange them in the correct order.
Select and Place:

You need to create the planned changes and meet the business requirements.
Which subscription should you use to host the SQL Server instance, and what should you configure on the instance? To answer, select the appropriate options in the answer area.
NOTE: Each correct selection is worth one point.
Hot Area:

HOTSPOT
You are troubleshooting the chargeback issues of the dev1 region.
You need to query the usage for each tenant subscription.
What should you do? To answer, select the appropriate options in the answer area.
NOTE: Each correct selection is worth one point.
Hot Area:
